Property Detail

20340 Highway 116

Monte Rio CA 95642

$125,000


Property Details

Description

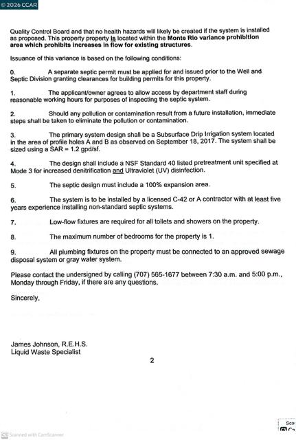
In a Flood and fire zone Needs all new plumbing, electrical and septic tank All permits are through the county of Sonoma The interior unit is stripped to studs. Roof had around 25 years left on life Property is sold as is, great opportunity for a seasoned or investor or for a first time flip.

Map Location

Listing provided courtesy of Quais Samad of Bloom Real Estate Group. Last updated 2026-02-19 09:13:36.000000. Listing information © 2026 CRMLS.
  • Log in
  • ×